Cumper Enterprises

Diesel Generator Set

Cumper’s enterprises offer a reliable power of generating set / genset solutions ranging from 5kva – 1500KVA with after-sales supports (spare parts & services) for residential back-up power, commercial and retail business centers, industrial and construction equipment, agricultural supports in remote locations, healthcare facilities, event & entertainment, emergency services operation and primary power for off-grid homes, cabins and telecommunications sites

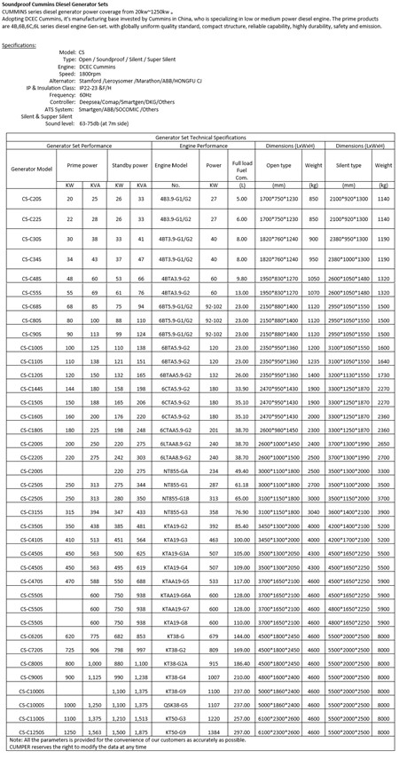
Generator Set Technical Specifications

Industrial Diesel Generators

CUMMINS series diesel generator power coverage from 20kw~1250kw.
Adopting DCEC Cummins, it’s manufacturing base invested by Cummins in China, who is specializing in low or medium power diesel engine .The prime products are 4B,6B,6C,6L series diesel engine Gen-set. with globally uniform quality standard, compact structure ,reliable capability, highly durability, safety and emission.

Specifications:

Model: C/CS
Type: Open / Soundproof / Silent / Super Silent
Engine: DCEC Cummins
Speed: 1800rpm
Alternator: Stamford /Leroysomer /Marathon/ABB/HONGFU CJ
IP & Insulation Class: IP22-23 &F/H
Frequency: 60Hz
Controller: Deepsea/Comap/Smartgen/DKG/Others
Silent & Supper Silent Sound level: 63-75db(at 7m side)

DENYO series diesel generator power coverage from 10kw~1100kw 。Denyo Power Generator are capable of generating power in various situations where public power is not available. The DCA Series generators are complete, stand alone generating sets. All models consist of Denyo Altenator which directly coupled to a diesel engine. The alternator and engine are set on a common skid base. Special vibration isolators are used to minimise vibrations during operation. The generator and electrical components are fully enclosed in a solid steel, weather proof bonnet. Noise suppression is achieved using highly effective sound and insulating materials

Specifications:

Model: DCA
Type: Soundproof / Silent / Super Silent
Engine: Yanmar / Kubota / Isuzu / Hino / Mitshubishi / Komatsu / Volvo
Speed: 1800rpm
Alternator: Brushless Denyo
Excitation: Brushless Rotating Exciter (with A.V.R.)
Rated Voltage: Single (1) / (3) / Dual (2)
Insulation & IP: Class F / Class H & IP22-23
Frequency: 60Hz
Controller: Deepsea/Comap/Smartgen/DKG/Others
ATS System: Smartgen/ABB/SOCOMIC /Others
Silent & Supper Silent Sound level: 61-75db(at 7m side)

PERKINS series diesel generator power coverage from 20kw~1800kw 。
Perkins manufacture of high performance diesel engine with globally uniform quality standard, one of the most advanced comprehensive ranges available today.

Specifications:

Model: P/PS
Type: Open / Soundproof / Silent / Super Silent
Engine: Perkins
Speed: 1800rpm
Alternator: Meccalte/Stamford /Leroysomer /Marathon/ABB/HONGFU CJ
IP & Insulation Class: IP22-23 protection &F/H
Frequency: 60Hz
Controller: Deepsea/Comap/Smartgen/DKG/Others
ATS System: Smartgen/ABB/SOCOMIC /Others
Silent & Supper Silent Sound level: 63-75db(at 7m side)

Cumper industrial diesel generators are manufactured in US, UK, Japan & China for various power applications used for prime or standby power such as residential homes, poultry, hotel and hospital, food outlet and other various business system applications.

We supply a wide range of commercial diesel generator for sale using of a high quality of engine brands such as Perkins, Cummins, and Denyo. All our sets are fully manufactured as per customer requirements.

If you’re looking for other affordable engine brand, feel free to message your specifications below:

Scroll to Top